This Quick Start Guide includes calibration details for AWTX Weigh Bars standard configuration or Custom configuration and custom configuration for other brands of Weigh Bars.
4.1 Calibrate the 2060 with a Standard Configuration Number
This section covers the standard calibration process for the scale system using pre-calibrated Avery Weigh-Tronix weigh cells. If using other brands of weigh cells or configurations of AWTX weigh cells not mentioned below you will need to use Custom Configuration. Refer to section 4.2 for an example of the Custom Configuration and Custom Configuration table.
4.1.1 Determine the Configuration Number
This section shows you how to find and enter a configuration number that sets up the indicator for the following: type of Weigh Bar calibration diameter, capacity, increment, and units.
The following are instructions for determining what number needs to be entered into the calibration configuration number menu. The calibration diameter (size) establishes the first two numbers for the configuration code. These numbers are on the top center of the label below the heading calibration diameter. In this example the calibration diameter will be 2 1/8.

Figure 4.1 Sample Weigh Bar Label
Example:
All standard configuration numbers consist of five digits. Follow the example below.
1st & 2nd digit = Calibration Diameter
3rd Digit= Capacity and increment (Division) size. Note that capacity refers to the max weight the scale will display not the actual capacity of the equipment that the scale system is installed on.
4th Digit= 0 (Print format will always be 0 for 2060) 5th Digit= Selection of Pounds (0) or Kilograms (4)
2 1/8 calibration diameter, 20,000 (capacity limit) x 5 (increments the scale counts in), Print format is always 0, unit = lb.
Configuration code = 05204
1. The first two digits are the calibration size. In our example, the calibration size is 2 1/8. The corresponding number is found in Table 4.1 on page 30. Find the desired calibration size. In this example, 05 are the first two digits.

2. The third digit is the capacity and increment (division) size within the calibration size. In this example, 20,000 x 5 is being used. The corresponding number is also found in Table 4.1. Follow the row of the chosen calibration size (i.e. 05) until you find the desired capacity and increment size. Follow the column down to the bottom row. The third digit is located on the bottom row. For this example, 2 is the number.

3. The fourth digit is for print formats. The 2060 print formats are determined by the application so the 4th digit will always be 0.
4. The 5th digit solely selects lb or kg in this example we want kg so the 5th digit becomes 4. Auto-loc, or Auto-acc is determined by the application software.
4.1.2 Configuration Codes
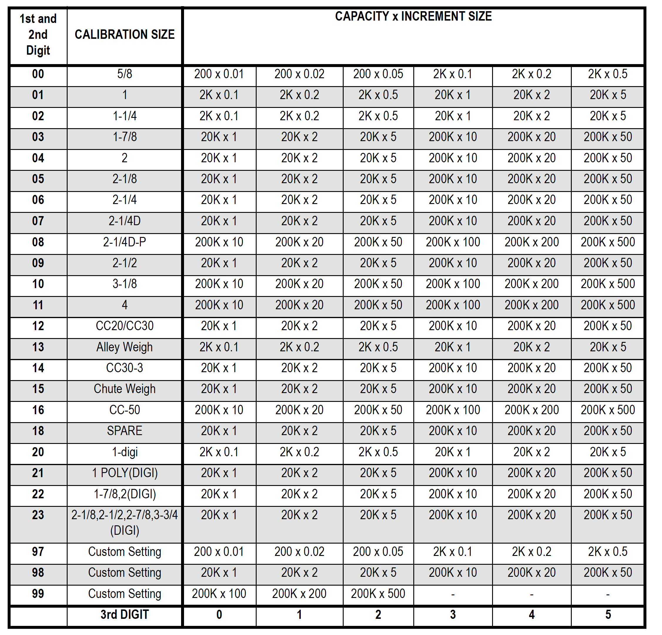
The following tables show how to establish a Configuration Code Number (CCN) to configure the 2060 indicator. Table 4.1 applies to all 3 Weigh Bar junction box systems and 4 Weigh Bar junction box systems.
- The only exception is the Calibration Size 2 1/4D-P, which can be used with 8 Weigh Bars that are 2 1/4 D cal size.
- If you use any other number of Weigh Bars, use custom settings 97, 98, or 99 and refer to section 4.2 to find your configuration numbers based on reading of .4mV/V.
Table 4.1 1st/2nd (Weigh Bar Size) and 3rd CCN Digits (Capacity and Increment)

The fourth digit is for print formats. The 2060 print formats are determined by the application so the 4th digit will always be 0.

The 5th digit selects the calibration unit; lb (0) or kg (4).

4.1.3 Enter the Configuration Code Number Parameter (Cfg Num)
- From the home screen, press and hold the HOME key for three beeps (3 seconds), then release. The password screen will be displayed.
- Enter the password 3088 within 5 seconds and press the F3/⏎Busy will be displayed briefly and the calibration menu will be accessed.
- The Calib menu will be highlighted.
- If you have Avery Weigh-Tronix Ag Weigh Cells you can chose between standard and custom calibration codes to calibrate your system.
- If you are using weighs from a different manufacturer you will want to go to section 4.2 for custom calibration.
- Press F3/⏎. Scale 1 will be highlighted.
- Press F3/⏎. The calibration choices will be displayed.
- From Scale 1 Calib screen, use the F1/↑ or F2/↓ to highlight Cfg Num.
- Press the F3/⏎ key.
- Enter the calibration number and press the F3/⏎ key. The Scale 1 Calib screen will be displayed
- To save and exit, press the BACK key until SAVESETTINGS screen is displayed. SAVEno will be the first choice displayed.
Press the F2/↓ key to scroll to SaveYes. Press the F3/⏎ key to accept and save the configuration number. Busy will be displayed. The number will be saved and the display will return to the home screen
If attempting to enter an invalid, display will show CAN't and return to CONFIG
4.1.4 Configuration Code Numbers for Common Applications:
SEED TENDERS & TMR MIXERS:
| 2 1/8 inch calibration weigh bar | 20,000 x 5 lb | 05200 |
| 2 ½ inch calibration weigh bar | 200,000 x 10 | 09300 |
| 2 1/4D calibration weigh bar | 200,000 x 10 lb | 07300 |
| CC-30 Compression Cell | 200,000 x 10 lb | 14300 |
GRAIN CARTS:
| 2 1/4D calibration weigh bar | 200,000 x 20 lb | 07400 |
| CC-30 Compression Cell | 200,000 x 20 lb | 14400 |
If it is impossible to know exactly which weigh bars are on the scale system, try one of the recommended Configuration Code Numbers and keep entering the recommended code numbers until the scale appears to be weighing properly. (See section 4.2.4: Enter Configuration Code Number (Cfg Num).
After several attempts at a code number, if the scale still does not weigh properly please consider the following:
Contact Agri-Tronix
Was this article helpful?
That’s Great!
Thank you for your feedback
Sorry! We couldn't be helpful
Thank you for your feedback
Feedback sent
We appreciate your effort and will try to fix the article